Saltando nel profondo della mia piscina NCAA con l'IA
Quarant'anni di istinto da bracket incontrano 50.000 tornei simulati — e la prima mossa intelligente dell'IA è stata porre la domanda che non avevo mai pensato di chiedere a me stesso.
Peter Horan / Nano Banana 2
È un mondo nuovo e coraggioso. Dopo oltre quarant'anni di partecipazione a pool di March Madness e persino di averne vinti alcuni (che ne dici di NC State nel 1984?), ho lavorato con ChatGPT per aiutarmi a compilare i miei bracket. Come la maggior parte delle persone, guardo un po' di basket universitario — ma di solito sono le mie tre o quattro squadre preferite e chiunque stiano affrontando. Seguirò alcune delle grandi partite nazionali nel fine settimana, ma è tutto qui.
Quindi, normalmente quando fisso il bracket che sbadiglia, mi chiedo: Dove si trova l'Università di High Point e chi gioca? E il temuto upset 12/5? È troppo codardo scegliere i semi #1 per vincere? Molta ansia e poca intuizione.
Peter Horan / Nano Banana 2
Può una macchina superare quarant'anni di istinto?
Ho chiesto come avrebbe costruito un modello per prevedere il vincitore del torneo NCAA. Solo la sua risposta mi ha fatto dire "wow".
Ecco la risposta: “Posso assolutamente aiutarti a costruirne uno: da un semplice modello di semi ed efficienza a un modello di probabilità più serio utilizzando l'efficienza in stile KenPom, ritmo, infortuni, viaggi, coaching e storia degli upset. Posso anche aiutare con: probabilità di vincita del bracket, scelte di upset per turno, simulazione di tornei Monte Carlo, modelli Elo o di regressione logistica, e strumenti di previsione basati su fogli di calcolo.
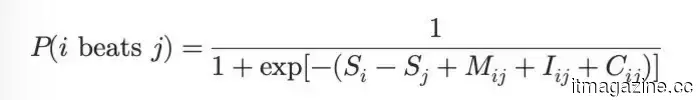
ChatGPT ha considerato la forza della squadra su un campo neutro, inclusa l'efficienza offensiva e difensiva, la forza del calendario, la coerenza e la forza della squadra, tra gli altri fattori. Questo si è tradotto in un insieme di previsioni basate su questa equazione:
Peter Horan / DigitalTrends
Si tratta degli accoppiamenti considerati di due squadre utilizzando queste valutazioni di squadra, utilizzando un modello logistico.
Peter Horan / DigitalTrends
Infine, ha simulato l'intero torneo basato su questa tecnica, non più di 50.000 volte.
Fidati dell'algoritmo — o del tuo istinto?
Non so voi, ma questo lavora a un livello di calcolo e potenza di elaborazione che è ben al di sopra delle mie capacità. Poi è tornato con una brillante sfumatura, in effetti chiedendo: “È più importante avere ragione o vincere soldi nel tuo pool?” La differenza è che se scegli solo i favoriti, la tua percentuale di correttezza sarà più alta, ma non ti distinguerai dagli altri giocatori nel pool. Devi scommettere su un paio di upset per guadagnare. Posso inserire due bracket nel mio pool più importante — quello in cui verrai preso in giro se il tuo bracket fa schifo — quindi ho chiesto uno di ciascuno.
Ho seguito quasi completamente le raccomandazioni di ChatGPT. Le eccezioni erano dare un cenno alle mie tre squadre preferite nei primi turni. Quelle squadre sono Santa Clara, Gonzaga e UCLA. Mi piacerebbe sbagliarmi, ma non mi aspetto di vedere nessuna di esse più avanti nel torneo.
Il mio piano è di monitorare il successo o il fallimento delle previsioni di ChatGPT qui mentre attraversiamo il torneo. Sarai il primo a sapere se ChatGPT mi fa sembrare un idiota. Incrocio le dita.
Peter C. Horan è un imprenditore e investitore nei media digitali con una storia di costruzione di media, commercio e pubblicità di successo…
Il nuovo MacBook Neo si carica più velocemente di quanto affermi Apple
I test rivelano un sorprendente divario di ricarica nel nuovo laptop economico di Apple — e la soluzione costa solo $59 nel negozio ufficiale di Apple.
Il nuovissimo MacBook Neo funziona con lo stesso chip dell'iPhone 16 Pro, ma non si carica così velocemente come il flagship iPhone 2024. O almeno è ciò che Apple ti dice nella scheda tecnica ufficiale. Il MacBook Neo viene fornito con un adattatore di alimentazione USB-C da 20W nella confezione, una scelta che appare sempre più strana, soprattutto dato che il dispositivo ha avuto la migliore settimana di lancio di sempre per i Mac con i compratori per la prima volta.
Leggi di più
Adobe ti permetterà di creare un modello AI Firefly personalizzato sul tuo lavoro e stile artistico
Firefly ora ti consente di generare, confrontare e modificare immagini e video mantenendo uno stile visivo coerente
Adobe ha introdotto i Modelli Personalizzati in beta pubblica per Firefly, offrendoti un modo per generare immagini nel tuo stile visivo invece di fare affidamento su output generici dell'IA. Caricando le tue immagini, puoi creare un modello che rifletta il tuo aspetto specifico, sia esso illustrazione, fotografia o design di personaggi.
Leggi di più
I rischi per la salute mentale dell'IA esposti mentre i chatbot a volte abilitano danni
Nuove ricerche mostrano che alcune risposte dell'IA rafforzano pensieri pericolosi invece di fermarli.
Uno studio guidato da Stanford solleva nuove preoccupazioni sulla sicurezza della salute mentale dell'IA dopo aver scoperto che alcuni sistemi possono incoraggiare idee violente e di autolesionismo invece di fermarle. La ricerca si basa su interazioni reali degli utenti e mette in evidenza le lacune nel modo in cui l'IA gestisce i momenti di crisi. In un campione piccolo ma ad alto rischio di 19 utenti, i ricercatori hanno analizzato quasi 400.000 messaggi e hanno trovato casi in cui le risposte non solo non sono intervenute, ma hanno attivamente rafforzato il pensiero dannoso. Molti output erano appropriati, ma le prestazioni irregolari spiccano. Quando le persone si rivolgono all'IA durante momenti vulnerabili, anche un piccolo numero di fallimenti può portare a danni nel mondo reale.
Leggi di più
Altri articoli
Saltando nel profondo della mia piscina NCAA con l'IA
ChatGPT ha eseguito 50.000 simulazioni di tornei, ha valutato le valutazioni di efficienza, le tendenze degli allenatori e la storia delle sorprese — poi mi ha chiesto qualcosa che nessun foglio di bracket ha mai fatto: vuoi avere ragione o vuoi vincere soldi?
